Bias Vs Variance


- m is choices of PC vectors
- as m increases, weight matrices grow by 10⋅m . Aka more flexible models.
- Increasing tail of MSEtest → overfitting. too flexible
- Increasing flexibility → decrease of empirical risk
- Inc : very low to very high → less and less underfitting then overfitting
- Best: min point in curve. But it is defined on test data which we do not have



- Decision function should minimize LossFunctions and yield a function with risk h. This is hopeless R(h)=E[L(h(X),Y)]
- Tune on Emperical Risk instead using Optimizers
- H is hypothesis space (related to Fitting).
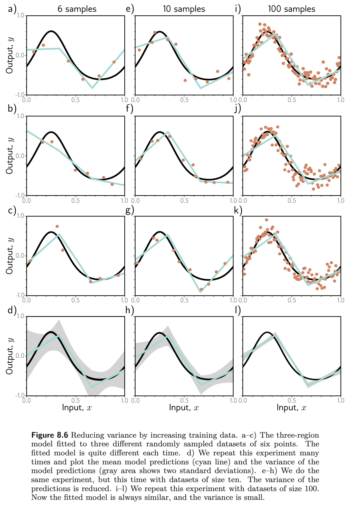
Why is This a Dilemma
- Any learning algo A
- If we run A repeatedly but for different “fresh” sampled data → h^ varies from trial to trial
- For any fixed x, h^(x)
- is a random variable
- value determined by drawn training samples
- rep by distribution PX,Y (which we cannot really know)
- Expectation Eretrain[h^(x)] . aka taken over ALL possible training runs with sampled data
- Quadratic Loss (risk) is minimized by the function Δ(x)=EY∣X=x[Y]
- Expectation of Y given x.


- Bias measures how strongly the avg result deviates from optimal value
- Variance measures how strongly the results vary around the expected value Eretrain
- When flexibility is too low → bias dominates(too good in train and horrible later) and underfits
- When flexibility is too high → variance dominates → overfitting