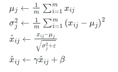
Batch Normalization
- bias=False for Linear/Conv2D for input and True for output deeplearning
- Normalizes architecture
- Input Distributions change per layer → Make sure they stay similar
- Reduces co variate shift because now the network must adapt per layer
- During testing : use stats saved during training
- Simplifies learning dynamics
- Can use larger learning rate
- Higher order interactions are suppressed because the mean and std are independant of the activations which makes training easier
- Cant work with small batches. Not great with RNN

- μj←m1Σi=1mxij
- σj2←m1Σi=1m(xij−μj)2
- x^ij←σj2+ϵxij−μj
- x^ij←γx^ij+β
Why