Node Level Tasks

 

Node Level Tasks

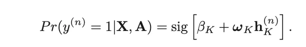
  • network assigns a label (classification) or one or more values (regression) to each node of the graph, using both the graph structure and node embeddings